我院储诚进教授团队揭示高阶相互作用对演替过程中植物种群动态的影响
植物群落演替受到生物和非生物因素的共同调节。目前关于生物因素对演替影响的研究大多只关注成对物种间的直接相互作用,忽略了在自然系统中可能普遍存在的高阶相互作用的影响。此外,气候(非生物因素)也可能对演替过程产生直接和间接(改变物种之间的相互作用)的影响。
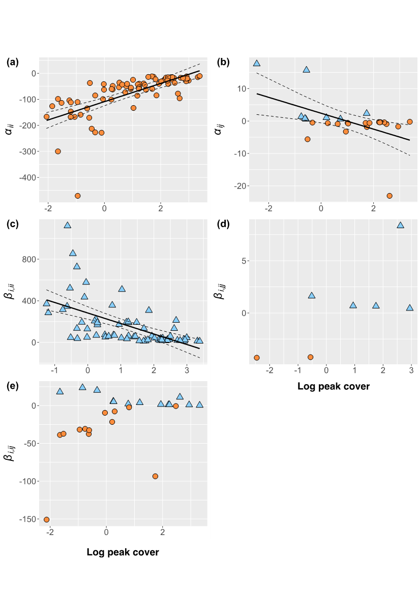
我院副院长储诚进教授团队利用美国新泽西州480个植物样方连续50年的观测数据探索了物种间的直接和高阶相互作用以及气候因子对草本植物种群动态的相对影响。结果表明,对于90个目标草本植物,直接种内竞争对87%的物种的种群增长都有显著的抑制作用,而直接种间相互作用只对29%的物种的种群变化有显著影响(图1)。高阶相互作用主要源于同种种内高阶相互作用,这种相互作用对93%的物种的种群增长有正效应,因而极大地减弱了直接种内竞争的影响。演替过程中峰值盖度更低的物种受到更强的种内竞争和正向同种种内高阶的影响(图2)。气候不仅对目标物种种群动态有直接的影响,还通过影响直接种内相互作用和同种种内高阶相互作用对种群动态产生间接影响。通过交叉验证发现,包含高阶相互作用(或气候因子)的模型可更好地预测约一半(或约三分之一)物种的种群动态。该研究强调了高阶相互作用在驱动演替过程中草本植物种群动态的重要性,提高了我们对演替过程中草本植物种群动态的理解,同时改善了对草本植物种群动态的预测能力。
研究结果以“Higher-order interactions mitigate direct negative effects on population dynamics of herbaceous plants during succession”为题发表在Environmental Research Letters上。我校博士生肖俊丽和博士后李远智为该论文的共同第一作者,储诚进教授为独立通讯作者。该研究受到国家自然科学基金委“杰青”项目、中国博士后科学基金项目、中央高校基本科研业务费、National Science Foundation of the USA和Marsden Grant等资助。
图1. 直接(a)和高阶相互作用(b)、气候(c)、以及气候与直接(d)或高阶相互作用(e)的交互效应对90个草本植物种群增长速率的影响
图2. 直接和高阶相互作用强度与物种峰值盖度(对数转换)的关系
Environmental Research Letters文章链接:
https://iopscience.iop.org/article/10.1088/1748-9326/ab8a88


