我院陈怀海副教授在纳米材料影响土壤酶活性研究上取得的进展

发布人:赵文嘉 责任审核人:初审 赵文嘉 审核 张丹丹 审核发布 黎晓天

    纳米材料的大量应用已经威胁到我们的生态环境,尤其是土壤健康,但是我们对于纳米材料如何影响土壤酶活性仍然缺乏统一的认识。因此,基于全球来自73篇文章的1820个土壤酶活性数据,我们分析了纳米材料的类别、土壤添加浓度和时间以及土壤性质和酶类型等因素对纳米材料的土壤环境毒性的影响,探讨了纳米材料对土壤微生物和酶活性的作用机理(图1)。

image-20211124073443-1

 图1. 纳米材料对土壤微生物和酶活性的作用机理

结果发现,纳米银和纳米铜材料显著地抑制了土壤呼吸、微生物生物量碳和酶活性。纳米碳材料同样抑制了微生物生物量碳和酶活性,而纳米钛材料抑制土壤呼吸和酶活性,证明了纳米材料类别是最重要的影响因子(图2)。

image-20211124073504-2

 图2. 纳米材料对土壤呼吸、微生物生物量碳和土壤酶活性的影响

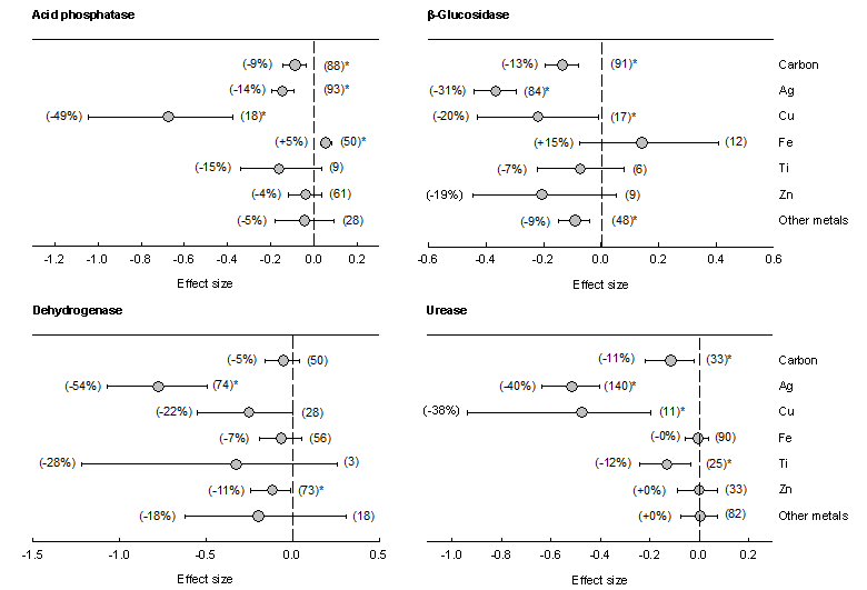
接着还发现,纳米锌材料不会抑制除了脱氢酶之外的土壤酶活性;同样地,纳米铁材料不仅不会抑制土壤酶活性,反而刺激了土壤酸性磷酸酶的活性(图3)。因此,未来纳米材料的类型应当更多地考虑土壤环境影响低的纳米锌和纳米铁材料。

image-20211124073522-3

 图3. 土壤酶类型对纳米材料抑制土壤酶活性的影响

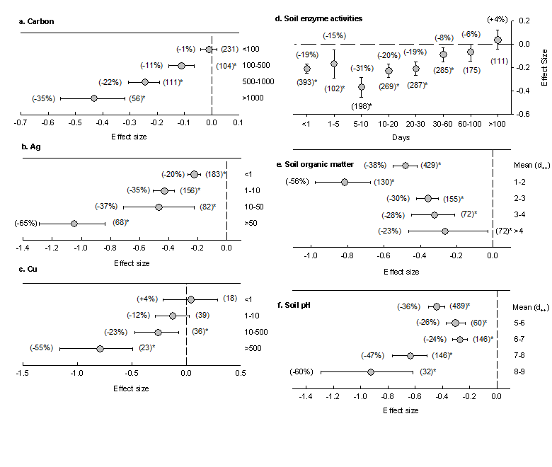
最终,通过分析纳米材料的土壤添加浓度和时间以及土壤pH和有机碳水平,我们发现纳米碳、纳米银和纳米铜材料对土壤酶活性的抑制随添加浓度增加而提高,并且随时间延长而降低,纳米材料的土壤酶抑制性在中性或碱性土壤以及有机碳含量低的土壤中尤其显著(图4)。

image-20211124073544-4

图4. 纳米材料的添加浓度和时间以及土壤性质对土壤酶活性的影响

研究结果以“Influence of different types of nanomaterials on soil enzyme activity: A global meta-analysis”为题发表于国际著名纳米材料学期刊Nano Today(中科院材料科学大类一区,IF=20.722);我院陈怀海副教授和美国马萨诸塞大学邢宝山教授为共同通讯作者,福建师范大学林加奖副教授作为第一作者,我院马嘉欣副教授和福建师范大学陈祖亮教授作为合作作者参与了该项目的工作。(全文链接:https://doi.org/10.1016/j.nantod.2021.101345

【教师简介】

陈怀海,副教授,中山大学“百人计划”引进人才,系统开展有关农业与森林生态系统土壤碳氮循环、微生物群落结构与功能多样性等方面的研究,共发表学术论文30余篇,其中一作或通讯作者论文20余篇,包括在Nano Today、Renewable and Sustainable Energy Reviews、Global Change Biology、Soil Biology and Biochemistry等期刊,引用一千余次。